Flop Gate

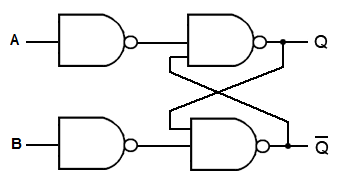
The nand gate rs flip flop a pair of cross coupled 2 unit nand gates is the simplest way to make any basic one bit setreset rs flip flop.
Flop gate. A flip flop gate is a logic gate that can be wired in between an activation device and an activatable wireable object. Like all logic gates the flip flop gate is a receiver as well as a sender and can be used as a latch for logic circuits after being placed into the game world. Flip flops 65 companies ioh is the output current that gates source to a load. The feedback is fed from each output to one of the other nand gate input.
Flop gate flap gat a flop gate within the pant leg chute gives operators the option to either recirculate oversized material for further screening and crushing or divert it to be stockpiled as a 100percent crushed material. It forms setreset bi stable or an active low rs nand gate latch. The d flip flop can be seen as an improvement over the sr flip flop because the sr flip flop can produce an undefined state when both inputs are high. The term flip flop has historically referred generically to both level triggered and edge triggered circuits that store a single bit of data using gates.
The maximum clocking frequency fmax is the highest rate in hertz hz at which flip flops can be triggered reliably. In this condition the sr flip flop yields an indeterminate result. The simple ones are commonly called transparent latches.